One of my oldest physics party tricks, now photographed in makeshift home studio.
(more…)Tag: fun
-
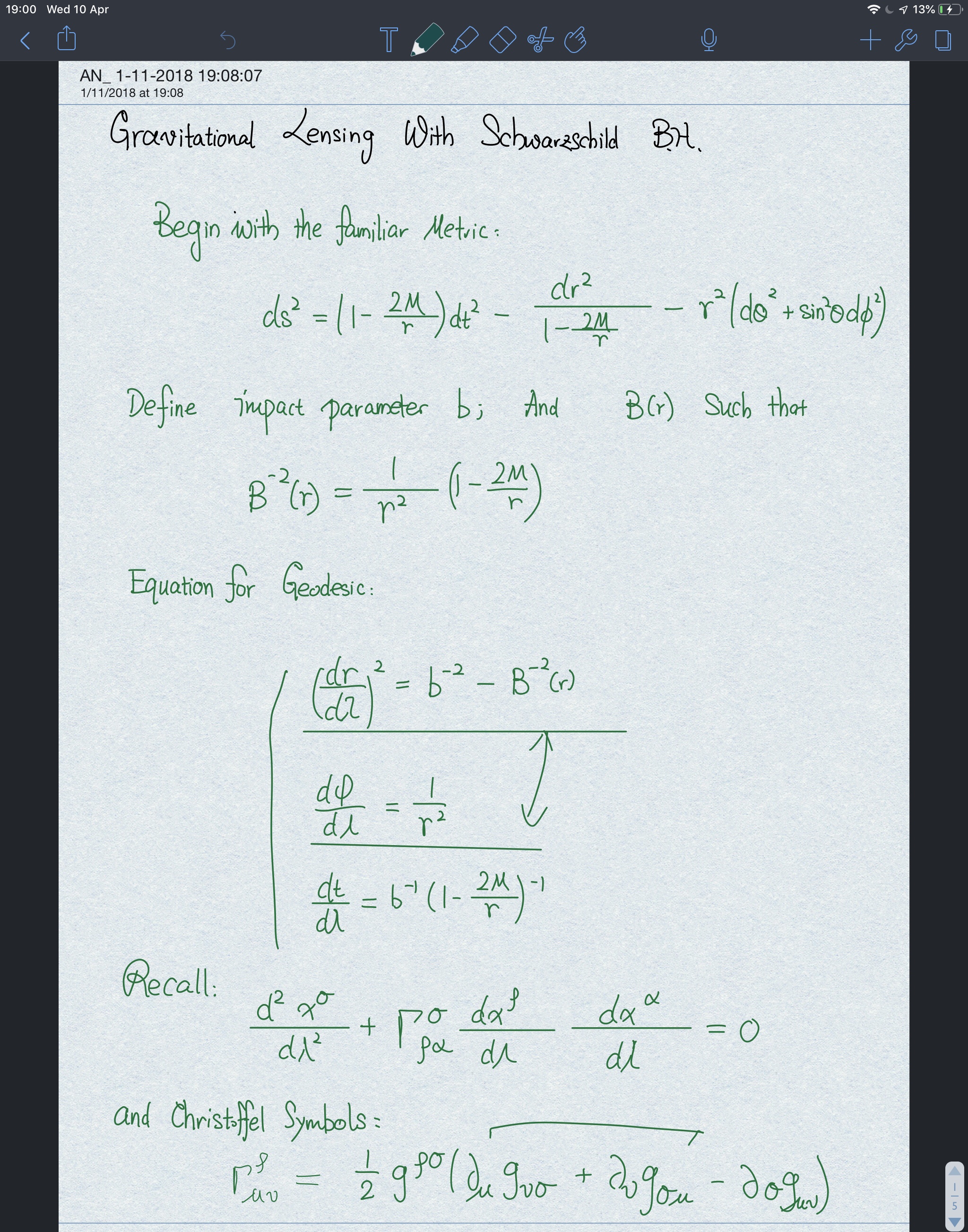
FW’s Notebook, Spacetime Optics with a Schwarzschild Blackhole
Some scrap calculations that I think are valid.



——
Waiting for the black hole image now!
19:02 NZDT,
Auckland
-
What Does it (really) Take for an ECLIPSE?
I guess you know the drill by now. Round earth with a moon whizzing around, and the pair occasionally block sunlight from each other. Neat stuff.
Do you want to see an actual ray diagram of that?
(more…)